Square Formulas

Formulas Involving Square - Algebra Formulas - Teachoo.jpg

  • (a + b) 2 = a 2 + b 2 + 2ab
  • (a − b) 2 = a 2 + b 2 − 2ab
  • a 2 − b 2 = (a − b) (a + b)
  • (x + a) (x + b) = x 2 + (a + b) x + ab
  • (a + b + c) 2 = a 2 + b 2 + c 2  + 2ab + 2bc + 2ca
  • (a + (−b) + (−c)) 2 = a 2 + (−b) 2  + (−c) 2 + 2a (−b) + 2 (−b) (−c) + 2a (−c) 

    (a – b – c) 2 = a 2 + b 2 + c 2 − 2ab + 2bc − 2ca


Cube Formulas

Algebra Formulas - Part 2

  • (a + b) 3 = a 3 + b 3 + 3ab(a + b)
  • (a − b) 3 = a 3 - b 3 - 3ab(a - b)
  • a 3 − b 3 = (a − b) (a 2 + b 2 + ab)
  • a 3 + b 3 = (a + b) (a 2 + b 2 − ab)
  • (a + b + c) 3 = a 3 + b 3 + c 3 + 3(a + b)(b + c)(c + a)
  • a 3 + b 3 + c − 3abc = (a + b + c) (a 2 + b 2 + c 2 − ab − bc − ac)
  • If (a + b + c) = 0,
    a 3 + b 3 + c 3 = 3abc

Algebra Formulas - x3 + y3 + z3


Some not so Common Formulas

Not so common Algebra Formulas


Power n Formula

  • a n − b n = (a − b) (a n−1 + a n−2  b 1  + a n−3  b 2 + .... + a b n−2  + b n−1  )

 


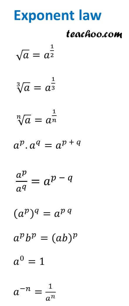
Exponent Law

Algebra Formulas - Part 5

View

For Irrational Numbers

Algebra Formulas - Part 6


Quadratic Formula

 

Algebra Formulas - Part 7

Remove Ads Share on WhatsApp
Davneet Singh's photo - Co-founder, Teachoo

Made by

Davneet Singh

Davneet Singh has done his B.Tech from Indian Institute of Technology, Kanpur. He has been teaching from the past 14 years. He provides courses for Maths, Science and Computer Science at Teachoo